2022年11月25日第66回静岡県華道連盟西部会  秋のいけばな展  会場案内図

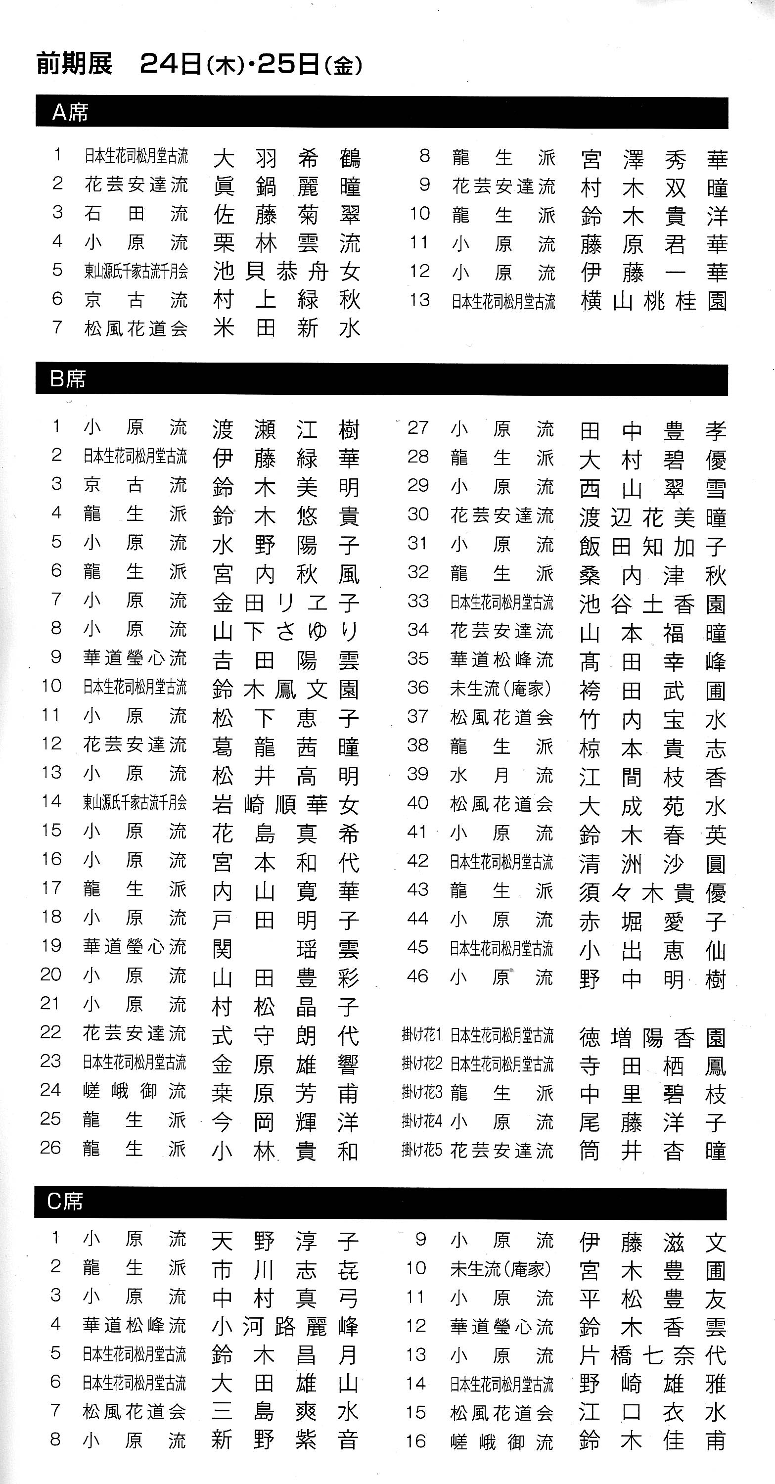
前期展 24日・25日(金)

掛け花1日本生花司郎堂古流 徳増陽春園 掛け花2日本生花司朋堂古流 寺田 栖鳳 掛け花3龍 生 派 中里 碧枝 掛け花4小 原 流 尾藤 洋子 掛け花5花芸安達流 筒井 香瞳
2 花芸安達流 眞鍋 麗瞳 38 龍 生 派 椋本 貴志 39 水 月 流 江間 枝番 40 松風花道会 大成 苑水 41 小 原 流 鈴木 春英
42 日本生花司朋堂古流 清洲 沙園 43 龍 生 派 須々木貴優 44 小 原 流 赤堀 愛子 45 日本生花司松月堂古流 小出 恵仙
46 小 原 流 野中 明樹 1 日本生花司松月堂古流 大羽 希鶴 1 小 原 流 渡瀬 江樹 2 日本生花司松月堂古流 伊藤 緑華 2 龍 生 派 市川 志亮
3 京 古 流 鈴木 美明 4 龍 生 派 鈴木 悠貴 5 小 原 流 水野 陽子 6 龍 生 派 宮 内 秋 風 3 石 田 流 佐藤 菊翠
7 小 原 流 金田リ ヱ子 8 小 原 流 山下さゆ り 4 小 原 流 栗林 雲流 9 華道璧心流 吉田 陽雲 10 日本生花司松月堂古流 鈴木鳳文園
11 小 原 流 松下 恵子 12 花芸安達流 葛龍 茜瞳 13 小 原 流 松井 高明 14 東山源氏千家古新月会 岩崎順華女 5 東山源氏千家古流千月会 池貝恭舟女
15 小 原 流 花島 真希 13 小 原 流 片橋七奈代 14 日本生花司松月堂古流 野崎 碓雅 15 松風花道会 江ロ 衣水
16 嵯峨御流 鈴木 佳甫 16 小 原 流 宮本 和代 6 京 古 流 村上 緑秋 17 龍 生 派 内山 寛華 18 小 原 流 戸田 明子
19 華道螢心流 関   瑞雲 A7 松風花道会 米田 新水 A8 龍 生 派 宮澤 秀華 A9 花芸安達流 村木 双瞳 A10 龍 生 派 鈴木 責洋
A11 小 原 流 藤原 君華 A12 小 原 流 伊藤 一華 A13 日本生花司松月堂古流 横山桃桂園 20 小 原 流 山田 豊彩 21 小 原 流 村松 晶子
22 花芸安達流 式守 朗代 23 日本生花司松月堂古流 金原 雄響 24 嵯峨御流 栞原 芳甫 25 龍 生 派 今岡 輝洋 26 龍 生 派 小林一 貴和
27 小 原 流 田中 豊孝 28 龍 生 派 大村 碧優 29 小 原 流 西山 翠雪 30 花芸安達流 渡辺花美瞳 31 小 原 流 飯田知加子
32 龍 生 派 桑内 津秋 33 日本生花司朋堂古流 池谷土香園 34 花芸安達流 山本 福瞳 35 華道松峰流 高田 幸峰 36 未生流(庵家)袴田 武圃
37 松風花道会 竹内 宝水 1 小 原 流 天野 淳子 3 小 原 流 中村 真弓 4 華道松峰流 小河路麗峰 5 日本生花司郎堂古流 鈴木 昌月
9 小 原 流 伊藤 滋文 6 日本生花司松月堂古流 大田 雄山 7 松風花道会 三島 爽水 8 小 原 流 新野 紫音 10 末生流(庵家)宮木 豊圃
11小 原 流 平松 豊友 12 華道螢心流 鈴木 香雲